Nuliziti/Examples

From FrathWiki
< Nuliziti
Revision as of 12:49, 30 May 2019 by Rgj40q (talk | contribs)
Jump to navigationJump to search

Work in progress...

V = verb
N = noun
INF = infinitive
ADV = adverb
PTCP = participle
APP = apposition conjunction
SENTCONJ = sentence conjunction
ARGCONJ = argument conjunction
PTCPCONJ = participle conjunction
PAS_I = passive voice I
PAS_II = passive voice II
PAS_III = passive voice III
INTERJ = interjection

The Bible. Genesis 11:1-9

1. And the whole earth was of one language, and of one speech.

FI            VIS   LEDIT
and.SENTCONJ  it.N  past.V

And it's past.

Nuliziti.Examples.Genesis.1.1.Syntree.svg

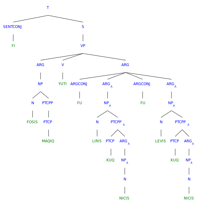
FI            FOSIS    MAQIQ     YUT      FU           LIRIS       KUQ          NICIS   FU           LEVIS      KUQ          NICIS
and.SENTCONJ  Earth.N  all.PTCP  be-of.V  and.ARGCONJ  language.N  amount.PTCP  one.N   and.ARGCONJ  dialect.N  amount.PTCP  one.N

And all Earth is of one language and one dialect.

Nuliziti.Examples.Genesis.1.2.Syntree.svg

2. And it came to pass, as they journeyed from the east, that they found a plain in the land of Shinar; and they dwelt there.

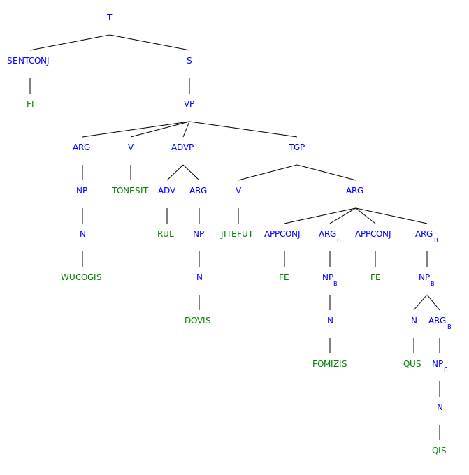
FI            WUCOGIS   TONESIT   RUL       DOVIS   JITEFUT   FE   FOMIZIS   FE   QUS   QIS
and.SENTCONJ  human.N   travel.V  from.ADV  east.N  find.V    APP  plain.N   APP  in.N  that.N

And humans travel from the east finding a plain in that.

Nuliziti.Examples.Genesis.2.1.Syntree.svg

FI            QIS     PUTIT   CINARIT
and.SENTCONJ  that.N  land.V  Shinar.V

And that is a land Shinar.

Nuliziti.Examples.Genesis.2.2.Syntree.svg

FI            WUCOGIS   KIHAVUT   QIS
and.SENTCONJ  human.N   settle.V  that.N

And humans settle that.

Nuliziti.Examples.Genesis.2.3.Syntree.svg

3. And they said one to another, Go to, let us make brick, and burn them throughly. And they had brick for stone, and slime had they for morter.

FI            WUCOGIS   SET    WUCOGIS   PIS
and.SENTCONJ  human.N   say.V  human.N   this.N

And humans say humans this.


Nuliziti.Examples.Genesis.3.1.Syntree.svg

FI            CEPIL       QAMIS          CILUT      NIMUGIS   QUDUT   NIMUGIS   FORIL
and.SENTCONJ  let-us.ADV  we-with-you.N  produce.V  brick.N   burn.V  brick.N   thorough.ADV

And let us produce bricks burning bricks thoroughly.

Nuliziti.Examples.Genesis.3.2.Syntree.svg

FI            WUCOGIS   CUT     FE   NIMUGIS   FE   JUS    WELIS    CUT     FE   CUBIS    FE   JUS    KOHIS
and.SENTCONJ  human.N   have.V  APP  brick.N   APP  for.N  stone.N  have.V  APP  slime.N  APP  for.N  mortar.N

And humans have brick for stone having slime for mortar.

Nuliziti.Examples.Genesis.3.3.Syntree.svg

4. And they said, Go to, let us build us a city and a tower, whose top may reach unto heaven; and let us make us a name, lest we be scattered abroad upon the face of the whole earth.

FI            WUCOGIS   SET    VIS    PIS
and.SENTCONJ  human.N   say.V  one.N  this.N

And humans say one this.

Nuliziti.Examples.Genesis.4.1.Syntree.svg

FI            CEPIL       QAMIS          CENUVUT   FU           ZAMIS   FU           FE   CUTIS    FE   QIS
and.SENTCONJ  let-us.ADV  we-with-you.N  build.V   and.ARGCONJ  city.N  and.ARGCONJ  APP  tower.N  APP  that.N

And let us build city and that tower.

Nuliziti.Examples.Genesis.4.2.Syntree.svg

FI            VIS   BUT     HIQUR      DALUS   QIS     VUYIS
and.SENTCONJ  it.N  able.V  reach.INF  top.N   that.N  heaven.N

And it's possible the top of that reaches heaven.

Nuliziti.Examples.Genesis.4.3.Syntree.svg

FI            CEPIL       QAMIS          CILUT     LALUS   QAMIS          TAXUTU         CULUR       QAMIS          FOSIS    MAQIQ
and.SENTCONJ  let-us.ADV  we-with-you.N  create.V  name.N  we-with-you.N  scare.V.PAS_I  spread.INF  we-with-you.N  earth.N  all.PTCP

And let us create our name being afraid we spread over all Earth.

Nuliziti.Examples.Genesis.4.4.Syntree.svg

5. And the LORD came down to see the city and the tower, which the children of men builded.

FI            WIDIS   KUROTIT   DIJIL         JUL      ZAPOFUR   WIDIS   FU           ZAMIS   FU           FE   CUTIS
and.SENTCONJ  Lord.N  arrive.V  downward.ADV  for.ADV  see.INF   Lord.N  and.ARGCONJ  city.N  and.ARGCONJ  APP  tower.N

And Lord arrives down for Lord to see city and tower

FE   CENUVUSU       RUXEFUS   WUCOGIS
APP  build.N.PAS_I  child.N   human.N

children of humans build.

6. And the LORD said, Behold, the people is one, and they have all one language; and this they begin to do: and now nothing will be restrained from them, which they have imagined to do.

FI            WIDIS   SET    VIS    PIS
and.SENTCONJ  Lord.N  say.V  one.N  this.N

And Lord says one this.

FI            WUCOGIS   XEMIT
and.SENTCONJ  human.N   together.V

And humans are together.

FI            WUCOGIS   MAQIQ     CUT        LIRIS       KUQ          NICIS
and.SENTCONJ  human.N   all.PTCP  possess.V  language.N  amount.PTCP  one.N

And all humans have one language.

FI            WUCOGIS   QEFIXIL    DEJUT   QIS
and.SENTCONJ  human.N   begin.ADV  do.V    that.N

And humans begin doing that.

FI            KIS        ZET         WUCOGIS   QIS
and.SENTCONJ  nothing.N  restrain.V  human.N   that.N

And nothing restrains humans from that.

FI            WUCOGIS   YEXUT      DEJUR   WUCOGIS   QIS
and.SENTCONJ  human.N   imagine.V  do.INF  human.N   that.N

And humans imagine humans doing that.

7. Go to, let us go down, and there confound their language, that they may not understand one another's speech.

FI            CEPIL       NIS   KUROTIT   DIJIL         LUSUT    QUL     QIS     FE   LIRIS       FE   CUSU             WUCOGIS
and.SENTCONJ  let-us.ADV  I.N   arrive.V  downward.ADV  split.V  at.ADV  that.N  APP  language.N  APP  possess.N.PAS_I  human.N

And let me arrive down splitting at that place language possessed by humans

JUL      BUR       SIQ       WUCOGIS   XIKUR           NEMIS   FE   LEVIS     FE   CUSU             DATIS
for.ADV  able.INF  not.PTCP  human.N   understand.INF  some.N  APP  speech.N  APP  possess.N.PAS_I  another.N

for humans may not provide someone understands speech of someone else.

8. So the LORD scattered them abroad from thence upon the face of all the earth: and they left off to build the city.

FI            WIDIS   YET       WUCOGIS   CULUR       RUQ        QIS     VIS    FOSIS    MAQIQ
and.SENTCONJ  Lord.N  render.V  human.N   spread.INF  from.PTCP  that.N  one.N  Earth.N  all.PTCP

And Lord renders humans to one's spreading from that place over all Earth.

FI            WUCOGIS   PIMUFIL   CENUVUT   ZAMIS
and.SENTCONJ  human.N   stop.ADV  build.V   city.N

And humans stop building city.

9. Therefore is the name of it called Babel; because the LORD did there confound the language of all the earth: and from thence did the LORD scatter them abroad upon the face of all the earth.

FI            YAPEDUL        PIS     ZAMIS   LALUT   BABELIS
and.SENTCONJ  therefore.ADV  this.N  city.N  name.V  Babel.N

And because of this city is called Babel.

FI            YAPEDULU             PIS     WIDIS   LUSUT    FE   LIRIS       FE   YUS   FOSIS    MAQIQ
and.SENTCONJ  therefore.ADV.PAS_I  this.N  Lord.N  split.V  APP  language.N  APP  of.N  Earth.N  all.PTCP

And this is because Lord split language of all Earth.

FI            RUL       QIS     WIDIS   YET       WUCOGIS   CULUR       VIS    FOSIS    MAQIQ
and.SENTCONJ  from.ADV  that.N  Lord.N  render.V  human.N   spread.INF  one.N  Earth.N  all.PTCP

And from that place Lord renders humans to one's spreading over all Earth.

Some quotes of Jean-Paul Sartre

1. Existence precedes essence.

LIR        QIS     KULUT      NOVUS      QIS
exist.INF  that.N  precede.V  essence.N  that.N

That one's existing precedes essence of that one.

2. In a world, man must create his own essence.

QUL     KUXUFIS   FE   WUCOGIS   FE   QIS     DUT       CILUR       QIS     NOVUS      QIS
at.ADV  world.N   APP  human.N   APP  that.N  should.V  create.INF  that.N  essence.N  that.N

At world human should make himself create essence of himself.

3. Man is condemned to be free; because once thrown into the world, he is responsible for everything he does.

FE   WUCOGIS   FE   QIS     VONILETU          VIS    SURUYIS
APP  human.N   APP  that.N  sentence.V.PAS_I  one.N  free.N

Human is sentenced by one to be a free one.

FI            YAPEDULU             PIS     VIS    XATUT    QIS     MUL         KUXUFIS
and.SENTCONJ  therefore.ADV.PAS_I  this.N  one.N  throw.V  that.N  toward.ADV  world.N

And this is because one throws him to world,

DI                QIS     DILISUT        DEJUSU      MAQIQ     QIS 
only-if.SENTCONJ  that.N  responsible.V  do.N.PAS_I  all.PTCP  that.N

only if he is responsible for all he does.

Yoshida Kenkō. Essays in Idleness. Section 82

Some affirm that it is a pity to use thin silk for binding books, as it is so soon damaged; but Ton'a says,

NEMIS   LONUT     JATEPUR     VIS    XEGEPER   VIS    FE   RUTIS   FE   XESIS   FE   QIS     QURESE         VIS    JEHIS
some.N  affirm.V  regret.INF  one.N  use.INF   one.N  APP  silk.N  APP  thin.N  APP  that.N  bind.N.PAS_II  one.N  book.N

Someone affirms the one’s regretting for one’s use of that thin silk for the thing one binds a book with.

FI            YAPEDUL        PIS     QIS     SOPIL      HOGASIT
and.SENTCONJ  therefore.ADV  this.N  that.N  early.ADV  worsen.V

And as a reason of this, that thing early worsens.

CI            TONAYIS   SURAWET   NEMIS   PIS
but.SENTCONJ  Tona.N    reply.V   some.N  this.N

But Ton'a replies someone this.

...