Nuliziti: Difference between revisions

From FrathWiki
Jump to navigationJump to search
Line 1,435: Line 1,435:
  FI            FOSISI  MAQIQI    YUTI    FU          LIRISI      KUQI        NICISI  FU          LEVISI    KUQI        NICISI
  FI            FOSISI  MAQIQI    YUTI    FU          LIRISI      KUQI        NICISI  FU          LEVISI    KUQI        NICISI
  and.SENTCONJ  Earth.N  all.PTCP  be-of.V  and.ARGCONJ  language.N  amount.PTCP  one.N  and.ARGCONJ  dialect.N  amount.PTCP  one.N
  and.SENTCONJ  Earth.N  all.PTCP  be-of.V  and.ARGCONJ  language.N  amount.PTCP  one.N  and.ARGCONJ  dialect.N  amount.PTCP  one.N
[[File:Nuliziti.Examples.Genesis.1.2.syntree.svg|600px]]
[[File:Nuliziti.Examples.Genesis.1.2.syntree.svg|700px]]


2. And it came to pass, as they journeyed from the east, that they found a plain in the land of Shinar; and they dwelt there.
2. And it came to pass, as they journeyed from the east, that they found a plain in the land of Shinar; and they dwelt there.
  FI            WUCOGISI  TONESITI  RULI      DOVISI  JITEFUTI  FE          FOMIZISI  FE          QUSI  QISI
  FI            WUCOGISI  TONESITI  RULI      DOVISI  JITEFUTI  FE          FOMIZISI  FE          QUSI  QISI
  and.SENTCONJ  human.N  travel.V  from.ADV  east.N  find.V    and.APPCONJ  plain.N  and.APPCONJ  in.N  that.N
  and.SENTCONJ  human.N  travel.V  from.ADV  east.N  find.V    and.APPCONJ  plain.N  and.APPCONJ  in.N  that.N
[[File:Nuliziti.Examples.Genesis.2.1.Syntree.svg|700px]]
  FI            QISI    PUTITI  CINARITI
  FI            QISI    PUTITI  CINARITI
  and.SENTCONJ  that.N  land.V  Shinar.V
  and.SENTCONJ  that.N  land.V  Shinar.V

Revision as of 03:54, 9 November 2018

English is not author’s native language, so proposals to fix and improve the text are very welcome.

Nuliziti is a project of an a priori constructed language. It is analytic head-initial language. Its morphosyntactic alignment is direct, in other words it makes no distinction among agent, patient, and intransitive arguments. It is not tonal. Nuliziti has no grammatical gender, case, number, definiteness, mood, person, tense, and aspect. All of that is expressed lexically. In the same time it has grammatical voice. Nuliziti has unambiguous and context-free grammar defined in the Extended Backus-Naur form. Note that semantical unambiguity is not the goal of Nuliziti. A word may be highly polysemous but to the extent that its valence remains the same for its every meaning.

Phonology and orthography

A word consists of syllables. A syllable structure is CV (consonant + vowel). A weak accent is always on the first syllable like in Finnish. Phonemes allow a degree of variation as long as they are clearly distinct from other phonemes of Nulizi. The phoneme /i/ may be voiceless when it is unstressed between voiceless consonants or in the end of a word after a voiceless consonant.

Nuliziti uses the Latin alphabet: A B C D E F G H I J K L M N O P Q R S T U V W X Y Z. One letter is read as one phoneme, and one phoneme is written with one letter. Words are written separated with any white space. Punctuation is not used. All letters are uppercase. Lowercase letters are not used.

Vowels

unrounded rounded
close I /i/ u /u/
mid E /e/ O /o/
open A /a/

Consonants

labial dental alveolar postalveolar velar
nasal M /m/ N /n/ Q /ŋ/
voiceless stop P /p/ T /t/ K /k/
voiced stop B /b/ D /d/ G /g/
voiceless fricative F /f/ H /θ/ S /s/ C /ʃ/ X /x/
voiced fricative V /v/ W /ð/ Z /z/ J /ʒ/ Y /ɣ/
lateral approximant L /l/
trill R /r/

Syntax

A text is hierarchically structured. The phrase nesting is potentially infinite, but still it is fully described in the grammar. Unlike in many languages the conjunctions are forbidden to nest. Also there are 3 types of non-sentence conjunctions and 8 similar types of phrases depending on whether conjunctions are allowed inside of them or not and which type exactly.

A text consists of sentences separated with sentence conjunctions (and, or, but, if and so on). They are necessary and may not be omitted. A text may start with a sentence conjunction.

  • TOTI FI NISI LUVITI - It rains, and I sleep.
  • FI TOTI FI NISI DUZITI - And it rains. And I walk.

A sentence is either an interjection or a verb phrase.

  • VO FI POTI MILI - Hello! It's windy now.

The beginning of a sentence is for the topic, the given or mentioned information. In a complex sentence that place might be taken by adverb phrase or by the subject, whichever goes first. The rest of a sentence is for the comment, the new information.

Note that in the end of a written text there is a trailing whitespace. In EBNF every word is defined being followed by whitespace. It is probably impossible to determine which word will be the last in the infinite number of variants of sentences. The special "end of text" word could be a solution, but in the author’s opinion it is not convenient for the spoken language.

Verb phrase

A verb is the syntactical top of a sentence, and the default form of a word in the vocabulary.

A verb phrase is V, or SV, or SVO, or SVOO, or SVOOO. In other words the first argument (or “subject”) precedes the verb, other arguments (or “objects”) follow it. Optional adverb phrases may be placed in the beginning of a sentence, and/or around the verb, and/or in the ending before the transgressive phrases. Optional transgressive phrases are placed in the very ending for all verbs with valence from 1 to 4, for avalent verbs the transgressive phrase is forbidden.

Specifically a verb phrase consists of:

  • optional adverb phrases, then an avalent verb, then optional adverb phrases,
    • TOTI - It rains.
    • XUXILI TOTI - It rains heavily.
    • TOTI XUXILI - It rains heavily.
  • or optional adverb phrases, then an argument, then optional adverb phrases, then a monovalent verb, then optional adverb phrases, then optional transgressive phrases,
    • NISI LUVITI - I sleep.
    • CAXILI NISI LUVITI - Ferociously I sleep.
    • NISI CAXILI LUVITI - I ferociously sleep.
    • NISI LUVITI CAXILI - I sleep ferociously.
  • or optional adverb phrases, then an argument, then optional adverb phrases, then a divalent verb, then optional adverb phrases, then an argument, then optional adverb phrases, then optional transgressive phrases,
    • NISI PEXIVUTI XOLISI - I cuddle a cat.
    • FORILI NISI PEXIVUTI XOLISI - Accurately I cuddle a cat.
    • NISI FORILI PEXIVUTI XOLISI - I accurately cuddle a cat.
    • NISI PEXIVUTI FORILI XOLISI - I cuddle a cat accurately.
    • NISI PEXIVUTI XOLISI FORILI - I cuddle a cat accurately.
  • or optional adverb phrases, then an argument, then optional adverb phrases, then a trivalent verb, then optional adverb phrases, then 2 arguments, then optional adverb phrases, then optional transgressive phrases,
    • NISI YETI XOLISI BILUNISI - I make a cat warm.
    • NISI YETI XOLISI BILUNISI PEXIVUTI XOLISI - I make a cat warm, cuddling it.
    • NISI YETI XOLISI BILUNISI PEXIVUTI XOLISI LUVITI CAXILI - I make a cat warm, cuddling it, while sleeping ferociously.
  • or optional adverb phrases, then an argument, then optional adverb phrases, then a tetravalent verb, then optional adverb phrases, then 3 arguments, then optional adverb phrases, then optional transgressive phrases.
    • NISI PATI XOLISI XARONISI LEMIRI POXISI - I reward a cat with a fish for being a nice girl.

The verb is always required. Adverb phrases and transgressive phrases are optional. There may be one or many such phrases in a row.

A subject and an object are not marked, they look the same and formally are accounted as arguments. The order of the arguments is fixed for each verb in the vocabulary, but that limitation may be overcome with passive voices. The voices are described in the chapter 3.

Arguments

There are 8 types of arguments, depending on what conjunctions are allowed or forbidden inside of a phrase:

allowed? _ A B C AB AC BC ABC
argument conjunctions yes no yes yes no no yes no
apposition conjunctions yes yes no yes no yes no no
participle conjunctions yes yes yes no yes no no no

The purpose of this complex classification is to force the simple idea that conjunctions cannot nest. The same classification applies to nouns, infinitives, and participles. When you use one type of conjunction in a phrase, then the other type inside of it, restrictions add up until all conjunctions are forbidden in ABC type of phrases.

The difference between apposition and argument conjunction is that the first lists the properties of the same object while the second lists different objects happened to take the same syntactical place. A phrase with an argument conjunction may be translated to several phrases with a sentence conjunction, and a phrase with an apposition conjunction may not:

  • FU POXISI FU MEFISI KUROTITI NULI TUTUSI = POXISI KUROTITI NULI TUTUSI FI MEFISI KUROTITI NULI TUTUSI
    • A woman and a man walked into the house. = A woman walked into the house, and a man walked into the house.
  • FE MAPISI FE WUCOGISI KUROTITI NULI TUTUSI ≠ MAPISI KUROTITI NULI TUTUSI FI WUCOGISI KUROTITI NULI TUTUSI
    • A tall man walked into the house. ≠ A tall one walked into the house, and a man walked into the house.

A noun in apposition in Nuliziti may be translated to a noun or an adjective in English: river Thames, John Smith, a tall man. However, not all English adjectives are appositions in Nulizi. If an English adjective can not be used independently without its main noun or it can but the meaning changes, then it is a participle in Nulizi:

  • MEFISI SUTI FE MAPISI FE WUCOGISI = MEFISI SUTI WUCOGISI FI MEFISI SUTI MAPISI
    • He is a tall man. = He is a man, and he is tall. - A noun in apposition.
  • POXISI SUTI YUJUSI MIBIQI VISI ≠ POXISI YUJUTI VISI FI POXISI MIBITI
    • She is a true friend. ≠ She is a friend, and she is true. - A participle.

An argument is:

  • an noun phrase,
  • or an infinitive phrase,
  • or two or more A-arguments with argument conjunctions before each of them,
  • or two or more B-arguments with apposition conjunctions before each of them.

An A-argument is:

  • a noun A-phrase,
  • or an infinitive A-phrase,
  • or two or more AB-arguments with apposition conjunctions before each of them.

A B-argument is:

  • a noun B-phrase,
  • or an infinitive B-phrase,
  • or two or more AB-arguments with argument conjunctions before each of them.

An AB-argument is:

  • a noun AB-phrase,
  • or an infinitive AB-phrase.

A C-argument is:

  • a noun C-phrase,
  • or an infinitive C-phrase,
  • or two or more AC-arguments with argument conjunctions before each of them,
  • or two or more BC-arguments with apposition conjunctions before each of them.

An AC-argument is:

  • a noun AC-phrase,
  • or an infinitive AC-phrase,
  • or two or more ABC-arguments with apposition conjunctions before each of them.

A BC-argument is:

  • a noun BC-phrase,
  • or an infinitive BC-phrase,
  • or two or more ABC-arguments with argument conjunctions before each of them.

An ABC-argument is:

  • a noun ABC-phrase,
  • or an infinitive ABC-phrase.

Noun phrases

A noun is derived from a verb for example “to do it” and has the meaning “the one who does it”, or “the one that does it”, or literally “doer it”. A noun returns the subject of the source verb, while the objects, if any, follow the noun the same way they follow the source verb. An avalent noun is impossible, because the source verb does not have a subject. There is no genitive constructions: instead of “a friend of Peter” one says “the-one-befriending Peter”, or literally “friend Peter”. Instead of using the genitive case or the preposition, the noun is divalent, and the word Peter is its direct object just like in a verb phrase.

A noun phrase is:

  • a monovalent noun, then the optional participle phrase,
  • or a divalent noun, then the optional participle phrase, then an argument,
  • or a trivalent noun, then the optional participle phrase, then 2 arguments,
  • or a tetravalent noun, then the optional participle phrase, then 3 arguments.

A noun A-phrase is:

  • a monovalent noun, then the optional participle A-phrase,
  • or a divalent noun, then the optional participle A-phrase, then an A-argument,
  • or a trivalent noun, then the optional participle A-phrase, then 2 A-arguments,
  • or a tetravalent noun, then the optional participle A-phrase, then 3 A-arguments.

A noun B-phrase is:

  • a monovalent noun, then the optional participle B-phrase,
  • or a divalent noun, then the optional participle B-phrase, then a B-argument,
  • or a trivalent noun, then the optional participle B-phrase, then 2 B-arguments,
  • or a tetravalent noun, then the optional participle B-phrase, then 3 B-arguments.

A noun C-phrase is:

  • a monovalent noun, then the optional participle C-phrase,
  • or a divalent noun, then the optional participle C-phrase, then a C-argument,
  • or a trivalent noun, then the optional participle C-phrase, then 2 C-arguments,
  • or a tetravalent noun, then the optional participle C-phrase, then 3 C-arguments.

A noun AB-phrase is:

  • a monovalent noun, then the optional participle AB-phrase,
  • or a divalent noun, then the optional participle AB-phrase, then an AB-argument,
  • or a trivalent noun, then the optional participle AB-phrase, then 2 AB-arguments,
  • or a tetravalent noun, then the optional participle AB-phrase, then 3 AB-arguments.

A noun AC-phrase is:

  • a monovalent noun, then the optional participle AC-phrase,
  • or a divalent noun, then the optional participle AC-phrase, then an AC-argument,
  • or a trivalent noun, then the optional participle AC-phrase, then 2 AC-arguments,
  • or a tetravalent noun, then the optional participle AC-phrase, then 3 AC-arguments.

A noun BC-phrase is:

  • a monovalent noun, then the optional participle BC-phrase,
  • or a divalent noun, then the optional participle BC-phrase, then a BC-argument,
  • or a trivalent noun, then the optional participle BC-phrase, then 2 BC-arguments,
  • or a tetravalent noun, then the optional participle BC-phrase, then 3 BC-arguments.

A noun ABC-phrase is:

  • a monovalent noun, then the optional participle ABC-phrase,
  • or a divalent noun, then the optional participle ABC-phrase, then an ABC-argument,
  • or a trivalent noun, then the optional participle ABC-phrase, then 2 ABC-arguments,
  • or a tetravalent noun, then the optional participle ABC-phrase, then 3 ABC-arguments.

Infinitive phrases

A infinitive is derived from a verb for example “to do it” and has the meaning “the one’s doing of it”, or literally “doing one it”. An infinitive returns the source verb, while arguments, if any, follow the infinitive. Unlike in a verb phrase, a subject follows an infinitive. Unlike in most languages, no arguments may be omitted including the subject.

An infinitive phrase is:

  • an avalent infinitive, then an optional participle phrase,
  • or a monovalent infinitive, then an optional participle phrase, then an argument,
  • or a divalent infinitive, then an optional participle phrase, then 2 arguments,
  • or a trivalent infinitive, then an optional participle phrase, then 3 arguments,
  • or a tetravalent infinitive, then an optional participle phrase, then 4 arguments.

An infinitive A-phrase is:

  • an avalent infinitive, then an optional participle A-phrase,
  • or a monovalent infinitive, then an optional participle A-phrase, then an A-argument,
  • or a divalent infinitive, then an optional participle A-phrase, then 2 A-arguments,
  • or a trivalent infinitive, then an optional participle A-phrase, then 3 A-arguments,
  • or a tetravalent infinitive, then an optional participle A-phrase, then 4 A-arguments.

An infinitive B-phrase is:

  • an avalent infinitive, then an optional participle B-phrase,
  • or a monovalent infinitive, then an optional participle B-phrase, then a B-argument,
  • or a divalent infinitive, then an optional participle B-phrase, then 2 B-arguments,
  • or a trivalent infinitive, then an optional participle B-phrase, then 3 B-arguments,
  • or a tetravalent infinitive, then an optional participle B-phrase, then 4 B-arguments.

An infinitive C-phrase is:

  • an avalent infinitive, then an optional participle C-phrase,
  • or a monovalent infinitive, then an optional participle C-phrase, then a C-argument,
  • or a divalent infinitive, then an optional participle C-phrase, then 2 C-arguments,
  • or a trivalent infinitive, then an optional participle C-phrase, then 3 C-arguments,
  • or a tetravalent infinitive, then an optional participle C-phrase, then 4 C-arguments.

An infinitive AB-phrase is:

  • an avalent infinitive, then an optional participle AB-phrase,
  • or a monovalent infinitive, then an optional participle AB-phrase, then an AB-argument,
  • or a divalent infinitive, then an optional participle AB-phrase, then 2 AB-arguments,
  • or a trivalent infinitive, then an optional participle AB-phrase, then 3 AB-arguments,
  • or a tetravalent infinitive, then an optional participle AB-phrase, then 4 AB-arguments.

An infinitive AC-phrase is:

  • an avalent infinitive, then an optional participle AC-phrase,
  • or a monovalent infinitive, then an optional participle AC-phrase, then an AC-argument,
  • or a divalent infinitive, then an optional participle AC-phrase, then 2 AC-argument,
  • or a trivalent infinitive, then an optional participle AC-phrase, then 3 AC-arguments,
  • or a tetravalent infinitive, then an optional participle AC-phrase, then 4 AC-arguments.

An infinitive BC-phrase is:

  • an avalent infinitive, then an optional participle BC-phrase,
  • or a monovalent infinitive, then an optional participle BC-phrase, then a BC-argument,
  • or a divalent infinitive, then an optional participle BC-phrase, then 2 BC-arguments,
  • or a trivalent infinitive, then an optional participle BC-phrase, then 3 BC-arguments,
  • or a tetravalent infinitive, then an optional participle BC-phrase, then 4 BC-arguments.

An infinitive ABC-phrase is:

  • an avalent infinitive, then an optional participle ABC-phrase,
  • or a monovalent infinitive, then an optional participle ABC-phrase, then an ABC-argument,
  • or a divalent infinitive, then an optional participle ABC-phrase, then 2 ABC-arguments,
  • or a trivalent infinitive, then an optional participle ABC-phrase, then 3 ABC-arguments,
  • or a tetravalent infinitive, then an optional participle ABC-phrase, then 4 ABC-arguments.

Participle phrases

A participle is derived from a verb for example “to do it” and has the meaning “doingly it”. A participle modifies a noun, an infinitive, an adverb, or another participle, making it its semantical subject. It typically expresses manner, place, time, frequency, degree, level of certainty, and so on. Its other arguments, if any, follow it. An avalent participle is impossible, because the source verb does not have a subject.

A participle phrase is:

  • a monovalent participle, then an optional participle phrase,
  • or a divalent participle, then an optional participle phrase, then an argument,
  • or a trivalent participle, then an optional participle phrase, then 2 arguments,
  • or a tetravalent participle, then an optional participle phrase, then 3 arguments,
  • or two or more participle C-phrases with participle conjunctions before each of them.

A participle A-phrase is:

  • a monovalent participle, then an optional participle A-phrase,
  • or a divalent participle, then an optional participle A-phrase, then an A-argument,
  • or a trivalent participle, then an optional participle A-phrase, then 2 A-arguments,
  • or a tetravalent participle, then an optional participle A-phrase, then 3 A-arguments,
  • or two or more participle AC-phrases with participle conjunctions before each of them.

A participle B-phrase is:

  • a monovalent participle, then an optional participle B-phrase,
  • or a divalent participle, then an optional participle B-phrase, then a B-argument,
  • or a trivalent participle, then an optional participle B-phrase, then 2 B-arguments,
  • or a tetravalent participle, then an optional participle B-phrase, then 3 B-arguments,
  • or two or more participle BC-phrases with participle conjunctions before each of them.

A participle C-phrase is:

  • a monovalent participle, then an optional participle C-phrase,
  • or a divalent participle, then an optional participle C-phrase, then a C-argument,
  • or a trivalent participle, then an optional participle C-phrase, then 2 C-arguments,
  • or a tetravalent participle, then an optional participle C-phrase, then 3 C-arguments.

A participle AB-phrase is:

  • a monovalent participle, then an optional participle AB-phrase,
  • or a divalent participle, then an optional participle AB-phrase, then an AB-argument,
  • or a trivalent participle, then an optional participle AB-phrase, then 2 AB-arguments,
  • or a tetravalent participle, then an optional participle AB-phrase, then 3 AB-arguments,
  • or two or more participle ABC-phrases with participle conjunctions before each of them.

A participle AC-phrase is:

  • a monovalent participle, then an optional participle AC-phrase,
  • or a divalent participle, then an optional participle AC-phrase, then a AC-argument,
  • or a trivalent participle, then an optional participle AC-phrase, then 2 AC-arguments,
  • or a tetravalent participle, then an optional participle AC-phrase, then 3 AC-arguments.

A participle BC-phrase is:

  • a monovalent participle, then an optional participle BC-phrase,
  • or a divalent participle, then an optional participle BC-phrase, then a BC-argument,
  • or a trivalent participle, then an optional participle BC-phrase, then 2 BC-arguments,
  • or a tetravalent participle, then an optional participle BC-phrase, then 3 BC-arguments.

A participle ABC-phrase is:

  • a monovalent participle, then an optional participle ABC-phrase,
  • or a divalent participle, then an optional participle ABC-phrase, then an ABC-argument,
  • or a trivalent participle, then an optional participle ABC-phrase, then 2 ABC-arguments,
  • or a tetravalent participle, then an optional participle ABC-phrase, then 3 ABC-arguments.

Transgressive phrase

A transgressive is derived from a verb for example “to do it” and has the meaning “while doing it” or “also doing it”. It is a secondary non-finite verb, that additionally describes the sentence subject. It has the same ending as a verb. It is used to render an action done by the subject simultaneously with the action of the main verb, same as nouns in apposition do for nouns.

  • I am a tall man.
    • NISI SUTI FE MAPISI FE WUCOGISI
      • I.N be.V and.APPCONJ tall.N and.APPCONJ human.N
    • NISI MAPITI WUCOGITI
      • I.N tall.V human.V

An avalent transgressive is impossible, because the source verb does not have a subject.

A transgressive phrase is:

  • a monovalent verb, then an optional adverb phrase,
  • or a divalent verb, then an optional adverb phrase, then an argument, then an optional adverb phrase,
  • or a trivalent verb, then an optional adverb phrase, then 2 arguments, then an optional adverb phrase,
  • or a tetravalent verb, then an optional adverb phrase, then 3 arguments, then an optional adverb phrase.

Adverb phrase

Like a participle, an adverb is derived from a verb for example “to do it” and has the meaning “doingly it”. Unlike a participle, an adverb modifies or more closely defines the verb, making it its semantical subject. So it is possible to change the top of the phrase like this:

It rains heavily.

TOTI    XUXILI
rain.V  heavy.ADV

A rain is heavy.

TORI      XUXITI
rain.INF  heavy.V

An adverb typically expresses manner, place, time, frequency, degree, level of certainty, and so on. Its other arguments, if any, follow it. An avalent adverb is impossible, because the source verb does not have a subject.

An adverb phrase is:

  • a monovalent adverb, then an optional participle phrase,
  • a divalent adverb, then an optional participle phrase, then an argument,
  • a trivalent adverb, then an optional participle phrase, then 2 arguments,
  • a tetravalent adverb, then an optional participle phrase, then 3 arguments.

Morphology

There are several types of parts of speech:

  • a closed class of 1-syllable words for conjunctions,
  • a closed class of roots for numerals, being concatenated into the infinite number of words,
  • an open class of stems from avalent to tetravalent for most parts of speech,
  • and an open class of avalent stems for interjections.

A numeral is always monovalent, and its stem always ends in "CI". Non-numeral stems may not end in "CI".

A valence of an open-class stem is determined by its last phoneme:

  • O, avalent,
  • I, monovalent,
  • U, divalent,
  • E, trivalent,
  • A, tetravalent.

After a stem an open-class word has a part-of-speech suffix, then a voice suffix, by default it is the active-voice suffix “-I”. Also, divalent, trivalent and tetravalent words may have the order of their arguments changed in passive voices:

  • -I, active voice, direct order,
  • -U, passive voice I, inversion of the 1st and the 2nd argument,
  • -E, passive voice II, inversion of the 1st and the 3rd argument,
  • -A, passive voice III, inversion of the 1st and the 4th argument.

The passive voice is not valence-decreasing, in other words the number of arguments remains the same. Also it does not emphasize the verb in favour of the subject, it is just a mechanical swap of arguments.

The suffixes for most parts of speech are summarized in the following table.

active voice passive voice I passive voice II passive voice III part of speech abbreviation
TI TU TE TA verb V
SI SU SE SA noun N
RI RU RE RA infinitive INF
LI LU LE LA adverb ADV
QI QU QE QA participle PTCP

Verb

Unlike in many languages, verbs are not inflected to encode tense, aspect, and mood, and verbs do not agree with the person, gender or number of any of its arguments. That information may be added with adverbs.

An avalent verb consists of:

  • an avalent stem,
  • then the verb suffix “T”,
  • then the active-voice suffix “I”.

A monovalent verb consists of:

  • a monovalent stem,
  • then the verb suffix “T”,
  • then the active-voice suffix “I”.

A divalent verb consists of:

  • a divalent stem,
  • then the verb suffix “T”,
  • then either the active-voice suffix “I” or the passive-voice-I suffix “U”.

A trivalent verb consists of:

  • a trivalent stem,
  • then the verb suffix “T”,
  • then either the active-voice suffix “I” or the passive-voice-I suffix “U” or the passive-voice-II suffix “E”.

A tetravalent verb consists of:

  • a tetravalent stem,
  • then the verb suffix “T”,
  • then either the active-voice suffix “I” or the passive-voice-I suffix “U” or the passive-voice-II suffix “E” or the passive-voice-III suffix “A”.

Noun

Nouns are not inflected to encode number, gender, case and definiteness. The implied number is “one or many”, like in Japanese. That information may be added with adverbs and appositions.

A monovalent noun consists of:

  • a monovalent stem,
  • then the noun suffix “S”,
  • then the active-voice suffix “I”.

A divalent noun consists of:

  • a divalent stem,
  • then the noun suffix “S”,
  • then either the active-voice suffix “I” or the passive-voice-I suffix “U”.

A trivalent noun consists of:

  • a trivalent stem,
  • then the noun suffix “S”,
  • then either the active-voice suffix “I” or the passive-voice-I suffix “U” or the passive-voice-II suffix “E”.

A tetravalent noun consists of:

  • a tetravalent stem,
  • then the noun suffix “S”,
  • then either the active-voice suffix “I” or the passive-voice-I suffix “U” or the passive-voice-II suffix “E” or the passive-voice-III suffix “A”.

Infinitive

An avalent infinitive consists of:

  • an avalent stem,
  • then the infinitive suffix “R”,
  • then the active-voice suffix “I”.

A monovalent infinitive consists of:

  • a monovalent stem,
  • then the infinitive suffix “R”,
  • then the active-voice suffix “I”.

A divalent infinitive consists of:

  • a divalent stem,
  • then the infinitive suffix “R”,
  • then either the active-voice suffix “I” or the passive-voice-I suffix “U”.

A trivalent infinitive consists of:

  • a trivalent stem,
  • then the infinitive suffix “R”,
  • then either the active-voice suffix “I” or the passive-voice-I suffix “U” or the passive-voice-II suffix “E”.

A tetravalent infinitive consists of:

  • a tetravalent stem,
  • then the infinitive suffix “R”,
  • then either the active-voice suffix “I” or the passive-voice-I suffix “U” or the passive-voice-II suffix “E” or the passive-voice-III suffix “A”.

Participle

A monovalent participle consists of:

  • a monovalent stem,
  • then the participle suffix “Q”,
  • then the active-voice suffix “I”.

A divalent participle consists of:

  • a divalent stem,
  • then the participle suffix “Q”,
  • then either the active-voice suffix “I” or the passive-voice-I suffix “U”.

A trivalent participle consists of:

  • a trivalent stem,
  • then the participle suffix “Q”,
  • then either the active-voice suffix “I” or the passive-voice-I suffix “U” or the passive-voice-II suffix “E”.

A tetravalent participle consists of:

  • a tetravalent stem,
  • then the participle suffix “Q”,
  • then either the active-voice suffix “I” or the passive-voice-I suffix “U” or the passive-voice-II suffix “E” or the passive-voice-III suffix “A”.

Adverb

A monovalent adverb consists of:

  • a monovalent stem,
  • then the adverb suffix “L”,
  • then the active-voice suffix “I”.

A divalent adverb consists of:

  • a divalent stem,
  • then the adverb suffix “L”,
  • then either the active-voice suffix “I” or the passive-voice-I suffix “U”.

A trivalent adverb consists of:

  • a trivalent stem,
  • then the adverb suffix “L”,
  • then either the active-voice suffix “I” or the passive-voice-I suffix “U” or the passive-voice-II suffix “E”.

A tetravalent adverb consists of:

  • a tetravalent stem,
  • then the adverb suffix “L”,
  • then either the active-voice suffix “I” or the passive-voice-I suffix “U” or the passive-voice-II suffix “E” or the passive-voice-III suffix “A”.

Conjunction

A sentence conjunctions may be coordinating (single) or correlative (pairwise). Other types of conjunctions are only correlative. There is only one apposition conjunction "FE" - "and".

sentence conjunction argument conjunction apposition conjunction participle conjunction translation
FI FU FE FA and
HI HU HA or
ZI ZU ZA and/or
CI CU CA but
XI XU XA if
DI DU DA only if

Interjection

An interjection is any word ending in -O, in other words any avalent stem without the ending. An interjection is immutable.

Numeral

Numeral stems are the specific case of monovalent stems, therefore a numeral may be a verb, a noun, an infinitive, a participle, and an adverb. A numeral stem always ends in "CI". The roots for numbers and numeric signs are:

meaning root stem
0 MO MOCI
1 NI NICI
2 LU LUCI
3 RE RECI
4 QA QACI
5 FO FOCI
6 PI PICI
7 HU HUCI
8 SE SECI
9 CA CACI
. TO TOCI
e XI XICI
& KU KUCI
- VE VECI
/ ZA ZACI

To make bigger numbers, roots may be concatenated as in the positional notation:

10 NIMOCI
11 NINICI
12 NILUCI
13 NIRECI
14 NIQACI
19 NICACI
20 LUMOCI
21 LUNICI
42 QALUCI
100 NIMOMOCI
777 HUHUHUCI
1.2 NITOLUCI
3.1416 RETONIQANIPICI
-1/3 VENIZARECI
2 3/7 LUKUREZAHUCI

However, it is not practical for very big or very small numbers. One may use the e-notation instead:

1 000 1e3 NIXIRECI
680 000 6.8e5 PITOSEXIFOCI
1 000 000 1e6 NIXIPICI
1 000 000 000 1e9 NIXICACI
1 000 000 000 000 1e12 NIXINILUCI
1.38e-23 NITORESEXIVELURECI
6.02e23 PITOMOLUXILURECI

The definition of a numeral is:

  • a number, or a decimal point (“.”), or an exponent sign (“e”), or a unary minus (“-”), or a mixed number joiner sign (“&”), or a division sign(“/”),
  • then a terminal “CI”.

A number is:

  • an integer,
  • or a mixed fraction,
  • or a floating-point number,
  • or a number in e-notation.

An integer is:

  • zero,
  • or an optional unary minus followed by a non zero natural number.

A mixed fraction is:

  • an optional unary minus,
  • then an optional pair of nonzero natural followed by a mixed number joiner sign (“and” or “plus”),
  • then a non zero natural number,
  • then a division sign,
  • then a non zero natural number.

A floating-point number is:

  • an integer,
  • then a decimal point,
  • then a natural number.

A number in e-notation is:

  • an optional unary minus,
  • then a nonzero digit (1-9),
  • then optionally a pair of a decimal point and a natural number,
  • then an exponent sign (e),
  • then an integer.

A non zero natural number is:

  • nonzero digit (1-9),
  • then any digit (0-9).

A natural number is:

  • zero,
  • or a non zero natural number.

The part-of-speech suffix is added after the stem. By default a number is nominal, in other words it means abstract “a number one”, “a number sixty two” and so on. For other meanings there are the following words in the vocabulary:

  • KUTI, a cardinal number.
    • BILUMISI KUQI RECISI - 3 flowers.
    • NISI LUVITI KULI RECISI - I sleep 3 times.
  • TUTI, an ordinal number.
    • BILUMISI TUQI RECISI - the third flower.
    • NISI LUVITI TULI RECISI - I sleep for the third time.
  • PUTI, a distributive number.
    • NOWISI DUZITI PULI RECISI - Ladies walk three each.
  • LUTI, a multiplier.
    • TEMISI LUQI RECISI - a triple dish.

Pro-forms

Pro-forms are not a special part of speech. They match other parts of speech, depending on their role and meaning. Occasionally other words not listed here may have a pronominal function.

  • LENITI - which, which one;
  • PITI - this, this one;
  • QITI - that, that one;
  • LUQITI - that second one;
  • REQITI - that third one;
  • QAQITI - that fourth one;
  • FOQITI - that fifth one;
  • MIPITI - yon, yon one;
  • NEMITI - some, something;
  • BOTITI - any, anything;
  • MAQITI - every, everything;
  • KITI - no, nothing;
  • DATITI - another, something else;
  • VITI - something unpsecified;
  • NITI - I;
  • QAMITI - we (including you);
  • PEQITI - we (excluding you);
  • TITI - you (singular).

There are many words for "something" and "that", because they work differently. When you use VITI several times in a text, it may describe different things, each not mentioned for some reason. When you use QITI (or LUQIGI, or REGITI etc) several times, it refers to the same thing. You may need to use definite "that" on more than one thing. That is why there are 5 such words.

EBNF

Let us define EBNF first. The EBNF is a formal tool for defining context-free grammars. The following represents a proposed ISO/IEC 14977 standard, page 7, table 1.

Notation Usage
definition =
concatenation ,
termination ;
alternation |
optional [ ... ]
repetition { ... }
grouping ( ... )
terminal string " ... "
terminal string ' ... '
comment (* ... *)
special sequence ? ... ?
exception -

The normal character representing each operator of Extended BNF and its implied precedence is (highest precedence at the top):

*
-
,
|
=
;
.

The normal precedence is overridden by the following bracket pairs:

' '
" "
(* *)
( )
[ ]
{ }
? ?

The interpretation of the text inside a special sequence is beyond the scope of the EBNF standard. For example, the space character could be defined by the following rule:

space = ? US-ASCII character 32 ?;

The EBNF of Nuliziti follows.

Phonology and orthography

phoneme = vowel | consonant;

space = ?white space characters?;

Vowels

vowel = "A" | "E" | "I" | "O" | "U";

Consonants

consonant = "B" | "C" | "D" | "F" | "G" | "H" | "J" | "K" | "L" | "M" | "N" | "P" | "Q" | "R" | "S" | "T" | "V" | "W" | "X" | "Y" | "Z";

Syntax

text = [sentence conjunction], sentence, {sentence conjunction, sentence};

sentence = interjection | verb phrase;

Verb phrase

verb phrase = {adverb phrase}, 0valent verb, {adverb phrase}
| {adverb phrase}, argument, {adverb phrase}, 1valent verb, {adverb phrase}, {transgressive phrase}
| {adverb phrase}, argument, {adverb phrase}, 2valent verb, {adverb phrase}, argument, {adverb phrase}, {transgressive phrase}
| {adverb phrase}, argument, {adverb phrase}, 3valent verb, {adverb phrase}, 2 * argument, {adverb phrase}, {transgressive phrase}
| {adverb phrase}, argument, {adverb phrase}, 4valent verb, {adverb phrase}, 3 * argument, {adverb phrase}, {transgressive phrase};

Argument

argument = noun phrase | infinitive phrase
| 2 * (argument conjunction, argument A), {argument conjunction, argument A}
| 2 * (apposition conjunction, argument B), {apposition conjunction, argument B};

argument A = noun phrase A | infinitive phrase A
| 2 * (apposition conjunction, argument AB), {apposition conjunction, argument AB};

argument B = noun phrase B | infinitive phrase B
| 2 * (argument conjunction, argument AB), {argument conjunction, argument AB};

argument AB = noun phrase AB | infinitive phrase AB;

argument C = noun phrase C | infinitive phrase C
| 2 * (argument conjunction, argument AC), {argument conjunction, argument AC}
| 2 * (apposition conjunction, argument BC), {apposition conjunction, argument BC};

argument AC = noun phrase AC | infinitive phrase AC
| 2 * (apposition conjunction, argument ABC), {apposition conjunction, argument ABC};

argument BC = noun phrase BC | infinitive phrase BC
| 2 * (argument conjunction, argument ABC), {argument conjunction, argument ABC};

argument ABC = noun phrase ABC | infinitive phrase ABC;

Noun phrases

noun phrase =
1valent noun, [participle phrase]
| 2valent noun, [participle phrase], argument
| 3valent noun, [participle phrase], 2 * argument
| 4valent noun, [participle phrase], 3 * argument;

noun phrase A =
1valent noun, [participle phrase A]
| 2valent noun, [participle phrase A], argument A
| 3valent noun, [participle phrase A], 2 * argument A
| 4valent noun, [participle phrase A], 3 * argument A;

noun phrase B =
1valent noun, [participle phrase B]
| 2valent noun, [participle phrase B], argument B
| 3valent noun, [participle phrase B], 2 * argument B
| 4valent noun, [participle phrase B], 3 * argument B;

noun phrase C =
1valent noun, [participle phrase C]
| 2valent noun, [participle phrase C], argument C
| 3valent noun, [participle phrase C], 2 * argument C
| 4valent noun, [participle phrase C], 3 * argument C;

noun phrase AB =
1valent noun, [participle phrase AB]
| 2valent noun, [participle phrase AB], argument AB
| 3valent noun, [participle phrase AB], 2 * argument AB
| 4valent noun, [participle phrase AB], 3 * argument AB;

noun phrase AC =
1valent noun, [participle phrase AC]
| 2valent noun, [participle phrase AC], argument AC
| 3valent noun, [participle phrase AC], 2 * argument AC
| 4valent noun, [participle phrase AC], 3 * argument AC;

noun phrase BC =
1valent noun, [participle phrase BC]
| 2valent noun, [participle phrase BC], argument BC
| 3valent noun, [participle phrase BC], 2 * argument BC
| 4valent noun, [participle phrase BC], 3 * argument BC;

noun phrase ABC =
1valent noun, [participle phrase ABC]
| 2valent noun, [participle phrase ABC], argument ABC
| 3valent noun, [participle phrase ABC], 2 * argument ABC
| 4valent noun, [participle phrase ABC], 3 * argument ABC;

Infinitive phrases

infinitive phrase =
0valent infinitive, [participle phrase]
| 1valent infinitive, [participle phrase], argument
| 2valent infinitive, [participle phrase], 2 * argument
| 3valent infinitive, [participle phrase], 3 * argument
| 4valent infinitive, [participle phrase], 4 * argument;

infinitive phrase A =
0valent infinitive, [participle phrase A]
| 1valent infinitive, [participle phrase A], argument A
| 2valent infinitive, [participle phrase A], 2 * argument A
| 3valent infinitive, [participle phrase A], 3 * argument A
| 4valent infinitive, [participle phrase A], 4 * argument A;

infinitive phrase B =
0valent infinitive, [participle phrase B]
| 1valent infinitive, [participle phrase B], argument B
| 2valent infinitive, [participle phrase B], 2 * argument B
| 3valent infinitive, [participle phrase B], 3 * argument B
| 4valent infinitive, [participle phrase B], 4 * argument B;

infinitive phrase C =
0valent infinitive, [participle phrase C]
| 1valent infinitive, [participle phrase C], argument C
| 2valent infinitive, [participle phrase C], 2 * argument C
| 3valent infinitive, [participle phrase C], 3 * argument C
| 4valent infinitive, [participle phrase C], 4 * argument C;

infinitive phrase AB =
0valent infinitive, [participle phrase AB
| 1valent infinitive, [participle phrase AB], argument AB
| 2valent infinitive, [participle phrase AB], 2 * argument AB
| 3valent infinitive, [participle phrase AB], 3 * argument AB
| 4valent infinitive, [participle phrase AB], 4 * argument AB;

infinitive phrase AC =
0valent infinitive, [participle phrase AC]
| 1valent infinitive, [participle phrase AC], argument AC
| 2valent infinitive, [participle phrase AC], 2 * argument AC
| 3valent infinitive, [participle phrase AC], 3 * argument AC
| 4valent infinitive, [participle phrase AC], 4 * argument AC;

infinitive phrase BC =
0valent infinitive, [participle phrase BC]
| 1valent infinitive, [participle phrase BC], argument BC
| 2valent infinitive, [participle phrase BC], 2 * argument BC
| 3valent infinitive, [participle phrase BC], 3 * argument BC
| 4valent infinitive, [participle phrase BC], 4 * argument BC;

infinitive phrase ABC =
0valent infinitive, [participle phrase ABC]
| 1valent infinitive, [participle phrase ABC], argument ABC
| 2valent infinitive, [participle phrase ABC], 2 * argument ABC
| 3valent infinitive, [participle phrase ABC], 3 * argument ABC
| 4valent infinitive, [participle phrase ABC], 4 * argument ABC;

Participle phrases

participle phrase =
1valent participle, [participle phrase]
| 2valent participle, [participle phrase], argument
| 3valent participle, [participle phrase], 2 * argument
| 4valent participle, [participle phrase], 3 * argument
| 2 * (participle conjunction, participle phrase C), {participle conjunction, participle phrase C};

participle phrase A =
1valent participle, [participle phrase A]
| 2valent participle, [participle phrase A], argument A
| 3valent participle, [participle phrase A], 2 * argument A
| 4valent participle, [participle phrase A], 3 * argument A
| 2 * (participle conjunction, participle phrase AC), {participle conjunction, participle phrase AC};

participle phrase B =
1valent participle, [participle phrase B]
| 2valent participle, [participle phrase B], argument B
| 3valent participle, [participle phrase B], 2 * argument B
| 4valent participle, [participle phrase B], 3 * argument B
| 2 * (participle conjunction, participle phrase BC), {participle conjunction, participle phrase BC};

participle phrase C =
1valent participle, [participle phrase C]
| 2valent participle, [participle phrase C], argument
| 3valent participle, [participle phrase C], 2 * argument
| 4valent participle, [participle phrase C], 3 * argument;

participle phrase AB =
1valent participle, [participle phrase AB]
| 2valent participle, [participle phrase AB], argument AB
| 3valent participle, [participle phrase AB], 2 * argument AB
| 4valent participle, [participle phrase AB], 3 * argument AB
| 2 * (participle conjunction, participle phrase ABC), {participle conjunction, participle phrase ABC};

participle phrase AC =
1valent participle, [participle phrase AC]
| 2valent participle, [participle phrase AC], argument AC
| 3valent participle, [participle phrase AC], 2 * argument AC
| 4valent participle, [participle phrase AC], 3 * argument AC;

participle phrase BC =
1valent participle, [participle phrase BC]
| 2valent participle, [participle phrase BC], argument BC
| 3valent participle, [participle phrase BC], 2 * argument BC
| 4valent participle, [participle phrase BC], 3 * argument BC;

participle phrase ABC =
1valent participle, [participle phrase ABC]
| 2valent participle, [participle phrase ABC], argument ABC
| 3valent participle, [participle phrase ABC], 2 * argument ABC
| 4valent participle, [participle phrase ABC], 3 * argument ABC;

Transgressive phrase

transgressive phrase = 1valent verb, {adverb phrase}
| 2valent verb, {adverb phrase}, argument, {adverb phrase}
| 3valent verb, {adverb phrase}, 2 * argument, {adverb phrase}
| 4valent verb, {adverb phrase}, 3 * argument, {adverb phrase};

Adverb phrase

adverb phrase = 1valent adverb, [participle phrase]
| 2valent adverb, [participle phrase], argument
| 3valent adverb, [participle phrase], 2 * argument
| 4valent adverb, [participle phrase], 3 * argument;

Morphology

0valent stem = {consonant, vowel}, consonant, "O";
1valent stem = {consonant, vowel}, consonant - "C", "I" | numeral;
2valent stem = {consonant, vowel}, consonant, "U";
3valent stem = {consonant, vowel}, consonant, "E";
4valent stem = {consonant, vowel}, consonant, "A";

active voice = "I";
passive voice I = "U";
passive voice II = "E";
passive voice III = "A";

Verb

verb suffix = "T";

0valent verb = 0valent stem, verb suffix, active voice, space;
1valent verb = 1valent stem, verb suffix, active voice, space;
2valent verb = 2valent stem, verb suffix, active voice | passive voice I, space;
3valent verb = 3valent stem, verb suffix, active voice | passive voice I | passive voice II, space;
4valent verb = 4valent stem, verb suffix, active voice | passive voice I | passive voice II | passive voice III, space;

Noun

noun suffix = "S";

1valent noun = 1valent stem, noun suffix, active voice, space;
2valent noun = 2valent stem, noun suffix, active voice | passive voice I, space;
3valent noun = 3valent stem, noun suffix, active voice | passive voice I | passive voice II, space;
4valent noun = 4valent stem, noun suffix, active voice | passive voice I | passive voice II | passive voice III, space;

Infinitive

infinitive suffix = "R";

0valent infinitive = 0valent stem, infinitive suffix, active voice, space;
1valent infinitive = 1valent stem, infinitive suffix, active voice, space;
2valent infinitive = 2valent stem, infinitive suffix, active voice | passive voice I, space;
3valent infinitive = 3valent stem, infinitive suffix, active voice | passive voice I | passive voice II, space;
4valent infinitive = 4valent stem, infinitive suffix, active voice | passive voice I | passive voice II | passive voice III, space;

Participle

participle suffix = "Q";

1valent participle = 1valent stem, participle suffix, active voice, space;
2valent participle = 2valent stem, participle suffix, active voice | passive voice I, space;
3valent participle = 3valent stem, participle suffix, active voice | passive voice I | passive voice II, space;
4valent participle = 4valent stem, participle suffix, active voice | passive voice I | passive voice II | passive voice III, space;

Adverb

adverb suffix = "L";

1valent adverb = 1valent stem, adverb suffix, active voice, space;
2valent adverb = 2valent stem, adverb suffix, active voice | passive voice I, space;
3valent adverb = 3valent stem, adverb suffix, active voice | passive voice I | passive voice II, space;
4valent adverb = 4valent stem, adverb suffix, active voice | passive voice I | passive voice II | passive voice III, space;

Conjunction

conjunction root = "F" | "H" | "Z" | "C" | "X" | "D";

sentence conjunction = conjunction root, "I", space;
argument conjunction = conjunction root, "U", space;
participle conjunction = conjunction root, "A", space;

apposition conjunction = "FE", space;

Interjection

interjection = 0valent stem;

Numeral

zero = "MO";

nonzero digit = "NI" | "LU" | "RE" | "QA" | "FO" | "PI" | "HU" | "SE" | "CA";

digit = nonzero digit | zero;

point = "TO";

exponent = "XI";

mixed joiner = "KU";

unary minus = "VE";

division = "ZA";

terminal = "CI";

nonzero natural = nonzero digit, {digit};

natural = zero | nonzero natural;

integer = zero | [minus], nonzero natural;

decimal = integer, point, natural;

mixed = [minus], [nonzero natural, mixed joiner], nonzero natural, division, nonzero natural;

e notation = [minus], nonzero digit, [point, natural], exponent, integer;

number = mixed | e notation | decimal | integer;

numeral = (number | point | exponent | unary minus | mixed joiner | division), terminal.

Vocabulary

Nuliziti/Vocabulary

Example texts

Work in progress...

The Bible. Genesis 11:1-9

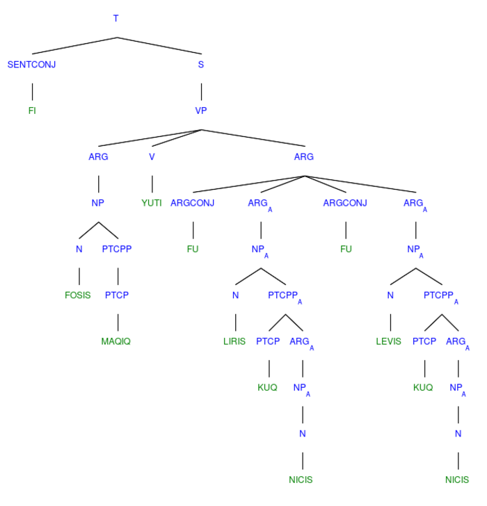
1. And the whole earth was of one language, and of one speech.

FI            VISI  LEDITI
and.SENTCONJ  it.N  past.V

Nuliziti.Examples.Genesis.1.1.syntree.svg

FI            FOSISI   MAQIQI    YUTI     FU           LIRISI      KUQI         NICISI  FU           LEVISI     KUQI         NICISI
and.SENTCONJ  Earth.N  all.PTCP  be-of.V  and.ARGCONJ  language.N  amount.PTCP  one.N   and.ARGCONJ  dialect.N  amount.PTCP  one.N

Nuliziti.Examples.Genesis.1.2.syntree.svg

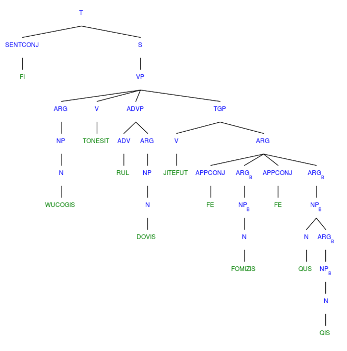
2. And it came to pass, as they journeyed from the east, that they found a plain in the land of Shinar; and they dwelt there.

FI            WUCOGISI  TONESITI  RULI      DOVISI  JITEFUTI  FE           FOMIZISI  FE           QUSI  QISI
and.SENTCONJ  human.N   travel.V  from.ADV  east.N  find.V    and.APPCONJ  plain.N   and.APPCONJ  in.N  that.N

Nuliziti.Examples.Genesis.2.1.Syntree.svg

FI            QISI    PUTITI  CINARITI
and.SENTCONJ  that.N  land.V  Shinar.V
FI            WUCOGISI  KIHAVUTI  QISI
and.SENTCONJ  human.N   settle.V  that.N

3. And they said one to another, Go to, let us make brick, and burn them throughly. And they had brick for stone, and slime had they for morter.

FI            WUCOGISI  SETI   WUCOGISI  PISI
and.SENTCONJ  human.N   say.V  human.N   this.N
FI            CEPILI      QAMISI         CILUTI     NIMUGISI  QUDUTI  NIMUGISI  FORILI
and.SENTCONJ  let-us.ADV  we-with-you.N  produce.V  brick.N   burn.V  brick.N   thorough.ADV
FI            WUCOGISI  CUTI    FE           NIMUGISI  FE           JUSI   WELISI   CUTI    FE           CUBISI   FE           JUSI   KOHISI
and.SENTCONJ  human.N   have.V  and.APPCONJ  brick.N   and.APPCONJ  for.N  stone.N  have.V  and.APPCONJ  slime.N  and.APPCONJ  for.N  mortar.N

4. And they said, Go to, let us build us a city and a tower, whose top may reach unto heaven; and let us make us a name, lest we be scattered abroad upon the face of the whole earth.

FI            WUCOGISI  SETI   VISI  PISI
and.SENTCONJ  human.N   say.V  it.N  this.N
FI            CEPILI      QAMISI         CENUVUTI  FU           ZAMISI  FU           FE           CUTISI   FE           QISI
and.SENTCONJ  let-us.ADV  we-with-you.N  build.V   and.ARGCONJ  city.N  and.ARGCONJ  and.APPCONJ  tower.N  and.APPCONJ  that.N
FI            VISI  BUTI    HIQURI     DALUSI  QISI    VUYISI
and.SENTCONJ  it.N  able.V  reach.INF  top.N   that.N  heaven.N
FI            CEPILI      QAMISI         CILUTI    LALUSI  QAMISI         TAXUTU         CULURI      QAMISI         FOSISI   MAQIQI
and.SENTCONJ  let-us.ADV  we-with-you.N  create.V  name.N  we-with-you.N  scare.V.PAS_I  spread.INF  we-with-you.N  earth.N  all.PTCP

5. And the LORD came down to see the city and the tower, which the children of men builded.

FI            WIDISI  KUROTITI  DIJILI        JULI     ZAPOFURI  WIDISI  FU           ZAMISI  FU           FE           CUTISI
and.SENTCONJ  Lord.N  arrive.V  downward.ADV  for.ADV  see.INF   Lord.N  and.ARGCONJ  city.N  and.ARGCONJ  and.APPCONJ  tower.N
FE           CENUVUSU       RUXEFUSI  WUCOGISI
and.APPCONJ  build.N.PAS_I  child.N   human.N

6. And the LORD said, Behold, the people is one, and they have all one language; and this they begin to do: and now nothing will be restrained from them, which they have imagined to do.

FI            WIDISI  SETI   VISI  PISI
and.SENTCONJ  Lord.N  say.V  it.N  this.N
FI            WUCOGISI  XEMITI
and.SENTCONJ  human.N   together.V
FI            WUCOGISI  MAQIQI    CUTI       LIRISI      KUQI         NICISI
and.SENTCONJ  human.N   all.PTCP  possess.V  language.N  amount.PTCP  one.N
FI            WUCOGISI  QEFIXILI   DEJUTI  QISI
and.SENTCONJ  human.N   begin.ADV  do.V    that.N
FI            KISI       ZETI        WUCOGISI  QISI
and.SENTCONJ  nothing.N  restrain.V  human.N   that.N
FI            WUCOGISI  YEXUTI     DEJURI  WUCOGISI  QISI
and.SENTCONJ  human.N   imagine.V  do.INF  human.N   that.N

7. Go to, let us go down, and there confound their language, that they may not understand one another's speech.

FI            CEPILI      VISI  KUROTITI  DIJILI        LUSUTI   QULI    QISI    FE           LIRISI      FE           CUSU             WUCOGISI
and.SENTCONJ  let-us.ADV  it.N  arrive.V  downward.ADV  split.V  at.ADV  that.N  and.APPCONJ  language.N  and.APPCONJ  possess.N.PAS_I  human.N
JULI     BURI      SIQI      WUCOGISI  XIKURI          NEMISI  FE           LEVISI    FE           CUSU             DATISI
for.ADV  able.INF  not.PTCP  human.N   understand.INF  some.N  and.APPCONJ  speech.N  and.APPCONJ  possess.N.PAS_I  another.N

8. So the LORD scattered them abroad from thence upon the face of all the earth: and they left off to build the city.

FI            WIDISI  YETI      WUCOGISI  CULURI      VISI  FOSISI   MAQIQI    RULI      QISI
and.SENTCONJ  Lord.N  render.V  human.N   spread.INF  it.N  Earth.N  all.PTCP  from.ADV  that.N
FI            WUCOGISI  HINILI   CENUVUTI  ZAMISI
and.SENTCONJ  human.N   end.ADV  build.V   city.N

9. Therefore is the name of it called Babel; because the LORD did there confound the language of all the earth: and from thence did the LORD scatter them abroad upon the face of all the earth.

FI            YAPEDULI       PISI    ZAMISI  LALUTI  BABELISI
and.SENTCONJ  therefore.ADV  this.N  city.N  name.V  Babel.N
FI            YAPEDULU             PISI    WIDISI  LUSUTI   FE           LIRISI      FE           YUSI  FOSISI   MAQIQI
and.SENTCONJ  therefore.ADV.PAS_I  this.N  Lord.N  split.V  and.APPCONJ  language.N  and.APPCONJ  of.N  Earth.N  all.PTCP
FI            RULI      QISI    WIDISI  YETI      WUCOGISI  CULURI      VISI  FOSISI   MAQIQI
and.SENTCONJ  from.ADV  that.N  Lord.N  render.V  human.N   spread.INF  it.N  Earth.N  all.PTCP

Some quotes of Jean-Paul Sartre

1. Existence precedes essence.

LIRI       QISI    KULUTI     NOVUSI     QISI
exist.INF  that.N  precede.V  essence.N  that.N

2. In a world, man must create his own essence.

QULI    KUXUFISI  FE           WUCOGISI  FE           QISI    DUTI      CILURI      QISI    NOVUSI     QISI
at.ADV  world.N   and.APPCONJ  human.N   and.APPCONJ  that.N  should.V  create.INF  that.N  essence.N  that.N

3. Man is condemned to be free; because once thrown into the world, he is responsible for everything he does.

FE           WUCOGISI  FE           QISI    VONILETU          VISI  SURUYISI
and.APPCONJ  human.N   and.APPCONJ  that.N  sentence.V.PAS_I  it.N  free.N
FI            YAPEDULU             PISI    VISI  XATUTI   QISI    MULI        KUXUFISI
and.SENTCONJ  therefore.ADV.PAS_I  this.N  it.N  throw.V  that.N  toward.ADV  world.N
DI                QISI    DILISUTI       DEJUSU      MAQIQI    QISI 
only-if.SENTCONJ  that.N  responsible.V  do.N.PAS_I  all.PTCP  that.N