Béu : Chapter 6 : Derivations: Difference between revisions
| Line 158: | Line 158: | ||
This prefix has the form '''ul''' before a vowel and '''h''' and '''?'''. Otherwise it has the form '''u'''. | This prefix has the form '''ul''' before a vowel and '''h''' and '''?'''. Otherwise it has the form '''u'''. | ||
The inverse operator is the prefix '''u''' and it can be applied to adjectives | The inverse operator is the prefix '''u''' and it can be applied to adjectives and nouns ... | ||
'''mutu''' = important : '''umutu''' = unimportant | '''mutu''' = important : '''umutu''' = unimportant | ||
'''tata''' = to tangle : '''utata''' = to untangle | '''tata''' = to tangle : '''utata''' = to untangle | ||
Below | Below are some common verbs that take this prefix ... | ||
.. | .. | ||
| Line 226: | Line 224: | ||
Positive and negative connotations ... | Positive and negative connotations ... | ||
.. | .. | ||
Revision as of 14:08, 2 May 2020
..... All sorts of people and how to derive them
..
English has many methods for naming people after their place of origin, The most common one is "er" as in Londoner, Dubliner. Also there are many interesting variations on the theme -"ian". For example Glaswegian, Aberdonian, Manchurian. However quite a number of places lack an appropriate derivational suffix. For example ... what do you call somebody from LA, or from San Fransisco ?
There is only one method in béu. The word pú "person" is placed just before the place name ... pú london "a/the Londoner", pú mancestə = "a/the Manchurian".
For plurals ... mpu is used ... mpu glazgo "Glaswegians", mpu abərdin "Aberdonians".
Note ... there is never any joining up of the words. Somehow it is always easier to get affixes to stick to the main word. I don't know why.
..
The very top professions, the ones that require a lot of book learning take the suffix -tai. For example molwi is a verb, meaning "to treat a patient" ... that is "interpreting the symptoms, giving medicine/physical repair/diet-advice/what-have-you, then observation and follow up as necessary". From this verb is derived the word moltai "doctor".
The professions not quite so prestigious, but still requiring a fair bit of book learning take the suffix -do. For example háun is a verb meaning "to teach". From this verb is derived the word haundo "teacher".
There is a third suffix that is used in the make up of many job titles ... the suffix -bau*. Actually this is one of the rare cases of polysemy in béu. One meaning is "one providing muscle power". For example heubau means farmhand and implies no special knowledge or skills what-so-ever. In fact with heubau there is a connotation of seasonal work as opposed to steady employment. The other meaning is "one having acqired great skill with his hands". For example a diamond cutter is called mahayabau (mahaya = diamond). This category includes all professional sportsman. Also skilled craftsmen such as furniture makers, boat builders etc. So people we consider artisans or artificers will have this affix on their job titles.
Another suffix that is part of many job titles is -fai. Basically used for the owner/manager of a shop. For example the owner/manager of a fruit shop is a gozofai (fruiterer ??) (his staff would probably be called gozobau.a. And although nothing to do with a shop ... heufai "farmer", heubau "farmhard".
ʔài = same : ʔaimai = a communist : ʔaimi = a communism
beumai = a follower of béu : beumi = "the congregation of béu" or "the béu movement"
to compete, to strugglemai => a capitalist
..
..... 39 derivations
..
Derivational morphology often involves the addition of a derivational suffix or other affix. Such an affix usually applies to words of one lexical category (part of speech) and changes them into words of another such category. For example, the English derivational suffix -ly changes adjectives into adverbs (slow → slowly).
Examples of English derivational patterns and their suffixes:
- adjective-to-noun: -ness (slow → slowness)
- adjective-to-verb: -ize (modern → modernize)
- adjective-to-adjective: -ish (red → reddish)
- adjective-to-adverb: -ly (personal → personally)
- noun-to-adjective: -al (recreation → recreational)
- noun-to-verb: -fy (glory → glorify)
- verb-to-adjective: -able (drink → drinkable)
- verb-to-noun (abstract): -ance (deliver → deliverance)
- verb-to-noun (agent): -er (write → writer)
Derivation can be contrasted with inflection, in that derivation produces a new word (a distinct lexeme), whereas inflection produces grammatical variants of the same word.
Generally speaking, inflection applies in more or less regular patterns to all members of a part of speech (for example, nearly every English verb adds -s for the third person singular present tense), while derivation follows less consistent patterns (for example, the nominalizing suffix -ity can be used with the adjectives modern and dense, but not with open or strong).
Derivation can also occur without any change of form, for example telephone (noun) and to telephone. This is known as zero derivation. [ All the above from "wikipedia" under "linguistic derivation" ]
..
We have already seen the béu inflections ... Ch 1.5 : plurality ... Ch 2.9 : case system ... Ch 3.1.2 => 3.14 : verb paradigm.
béu also uses many derivational processes. It has a large inventory of affixes used for derivation. The diagram below shows the five main derivational processes which are absolutely fundamental to the working of the language.
Most nouns can be used as adjectives just by placing them directly after the noun they are qualifying. Like "school bus" in English. For example ...
solbes moze = a drink of water
Also there is a particle yó joining the possessed to the possessee ... however it is rarely used.
"John's house" => tìa yó jono .... but more usually tìa jono
This is zero derivation and is marked as ø in the above diagram.
..
We have already remarked on the saidau => saidaus and the maŋga => maŋgas transforms [ Ch 2.1 ].
These are marked as S in the above diagram.
..
The remaining two transformations shown on the diagram are for verbalization. Actually the affix -ko is added to all adjectives or nouns in order to make a verb. However in one circumstance this affix is not needed. This is for the r-form based on a multi-syllable adjective or noun. For example ...
..
yubau = strong
yubako = to strengthen
pazba yubara = I am strengthening the table .... note not pazba *yubakara
pazba yubaku = strengthen the table (a command)
pazba yubakis = you should strengthen the table
..
pona = hot
ponako = to heat up
ponara moze = I am heating up some water .... note not *ponakara moze
ponaku moze = heat up some water (a command)
ponakos moze = he/she should heat up some water
..
bàu = man
bauko = to man (exact same meaning as in English)
baukara téu dí = I am manning this position
bauku téu dí = man this position (a command)
baukos téu dí = he/she should man this position
..
gèu = green : geuko = to make green
naike = sharp : naikeko = to sharpen
keŋkia = salty : keŋkiko = to add salt ... when the adjective ends is a diphthong (and is non-monosylabic) the last vowel is dropped.
keŋkikara = "I am adding salt" .... note not *keŋkara ... this is because keŋkia is a derived word.
sài = colour : saili = colourful : sailu = colourless : saiko = to paint (maybe via *saiyako)
..
Note ... -ko is possibly an eroded version of gàu ( "to do" or "to make" ).
Note ... There seems to be a method of deriving a two place verb from a one place verb by affixing -n. For example ... diadia = "to happen" : diadian = "to cause". While this mechanism is seen all over the language I have not mentioned it in the chart above. This is because I consider it non-productive. I count daidia and diadian both as base words. In a similar way that English speakers consider "rise" and "raise" independent words, "lie" and "lay" independent words and "sit" and "set" independent words.
..
..
The diagram above shows second tier derivational processes. Notice that there are not many processes connecting "noun" and "verb". Also notice the plethora of processes for constructing adjectives. Normally if the suffix begins with a vowel ... then the final vowel(s) on the word are deleted. If the suffix begins with a consonant ... normally nothing is deleted. But for la and da ... preceding diphthongs are reduced.
..
...... u .......... (prefix)
This prefix has the form ul before a vowel and h and ?. Otherwise it has the form u.
The inverse operator is the prefix u and it can be applied to adjectives and nouns ...
mutu = important : umutu = unimportant
tata = to tangle : utata = to untangle
Below are some common verbs that take this prefix ...
..
| kunja | to fold | ukunja | to unfold |
| laiba | to cover | ulaiba | to uncover |
| fuŋga | to fasten, to lock | ufuŋga | to unfasten, to unlock |
| benda | to assemble, to put together | ubenda | to take apart, to disassemble |
| pauca | to stop up, to block | upauca | to unstop |
| senza | to weave | uzenza | to unravel |
| fiŋka | to put on clothes, to dress | ufiŋka | to undress |
..
Note ... having the same prefix as inverse operator for nouns, verbs and adjectives can cause a bit of ambiguity. For example ...
kunja = to fold
kunjana = the folder
ukunjana .... does this mean "the unfolder" or "the one who does not fold" ? ... but we can live with a touch of ambiguity.
..
I have not mentioned this prefix in any diagram.
[ taitau = many : utaitau = few / nan = for a long time : unan = not for a long time ?? }
Positive and negative connotations ...
..
In the 4 (lexical category changing) derivational processes illustrated above, it can be seen that the sufffix ia seems to be associated with positivity and the sufffix ua with negativity.
Also in the 2 (lexical category unchanging) derivational processes illustrated above, it can be seen that the preffix u seems to be associated with negativity.
Perhaps also the past tense -i (positive with respect to realization) and the past tense -u (negative with respect to realization) is an extention of this pattern.
So perhaps béu speakers feel -ia has a positive connotation and -ua or u- have a negative connotation.
This pattern seems to be confined to affixes though. When it comes to lexical words this pattern is not* seen.
..
* Well some common words seem to pattern the same way. For example ... bù "not", úa "to run out"/"to be used up", ìa "to complete"/"to finish".
But other words seem to pattern in the exact opposite way. For example ... kyà "don't", aiya "no", ʔaiwa "yes".
..
..... sa .......... (prefix)
..
| liza | to hear | saliza | nice sounding |
| mwé | to see | samwe | pretty, worth seeing |
| flò | to eat | saflo | tasty, delicious |
| solbe | to drink | sazolbe | nice to drink |
| gàu | to do | sagau | worth doing |
| mài | to get | samai | sizeable, significant |
| mbe | to hold | sambe | sexy, hot, nubile, attractive |
| klói | to like | sakloi | cute (used especially of children) |
..
.... pau ........ (prefix)
This usually designated something that is deemed essential to some larger object. Often something man-made.
..
pauwau = a pair of spectacles
pau-clock = hand (of a clock)
pau.elza = Earpods
paudufa = a watch
paukwo = spoke
pau-bow = arrow
..
..... pú & kuwai
These are not actually prefixes. They are independent words. pú means "person" and kuwai means "quality".
Why do I mention them here ? well they are quite close to getting fused to the following word that they modify.
pú is often followed by a location. pú london = a londoner : pú iŋglis = an Englishman : pú fanze = a Frenchman
pú is often followed by an action. pú solbe = the drinker
pú is often followed by an noun. pú ?azwo = a/the milkman
Plurals are as you would expect ...
mpu glazgo = Glaswegians
..
kuwai can precede any adjective. The resulting compound means "the quality expressed by adjective ".
gèu = green : kuwai gèu = "greenness"
tumu = stupid : kuwai tumu = stupidity
..... + & k+
These also are not prefixes. They are independent words that have no independent meaning.
gèu = green : + gèu = "a/the green one" : k+ gèu = "a/the green ones"
It is thought that k+ was once kài "type/kind/sort" and + is a?a eroded away down.
k+ is occasionally found in front of nouns.
sadu = elephant : k+ sadu = elephant-kind, "the elephant" (as a species)
But this is rare outside of k+ pú "mankind"
?? + : member ... k+ : group ??
..... mi
Other suffixes that produces many word applicable to people, is the -mai/-mi pair. In Ch 2 in the OLUS section, we have discussed the words that have a countable/uncountable double life depending on whether they end in i or ai. For example toti means "children in general" in the same way "wheat" in English, means "wheat in general". totai means 'one unit of children in general " (or simply "a child"). Now one suffix shares this duality ... the mi/mai suffix ... mostly used for belief systems or political movements. For example ... telemai" = "a socialist" (from tele "to share"). Now the translation for "socialism" is telemi. This looks a bit strange at first brush. But if you think about it more ... what better name for a movement.telemi" means "the sum of all socialists in the world". By extention it means "the actions, feelings and thoughts of all the socialists in the world" ... if not a good definition of socialism I don't know what is.
.... mai
Other suffixes that produces many word applicable to people, is the -mai/-mi pair. In Ch 2 in the OLUS section, we have discussed the words that have a countable/uncountable double life depending on whether they end in i or ai. For example toti means "children in general" in the same way "wheat" in English, means "wheat in general". totai means 'one unit of children in general " (or simply "a child"). Now one suffix shares this duality ... the mi/mai suffix ... mostly used for belief systems or political movements. For example ... telemai" = "a socialist" (from tele "to share"). Now the translation for "socialism" is telemi. This looks a bit strange at first brush. But if you think about it more ... what better name for a movement.telemi" means "the sum of all socialists in the world". By extention it means "the actions, feelings and thoughts of all the socialists in the world" ... if not a good definition of socialism I don't know what is.
.... uma
tìa = a house : tia.uma = a mansion :
pú = a person : pu.uma = a giant : pu.umai = giants
bàu = a man : bau.uma = a giant man
.... ita
tìa = a house : tia.ita = a cottage
pú = a person : pu.ita a dwarf
bàu = a man : bauita = a male dwarf
This affix often has the connotation ... "the speaker feels affection for the noun so transformed". But note ... the opposite affix uma has no undercurrent of "revulsion"
... ana
"a facsimile of ... "
siana = globe (< si.ai = the earth)
mukana = likeness/portrait ... head only
mukana dailo = a drawing/painting of a personds head
mukana dauzo = a statue of a persons head
In béu culture busts (statues comprising a persons head and shoulders) are unusual so no special term for this.
puana = statue/portrait .... full body
puana dailo = a drawing/painting of a complete person
puana dauzo = a statue of a full person
tiana = an icon
The above is a very unusual word ... consisting of only two suffixes ... I think I have read about a Central American language that has a similar word ... but quite unusual in the grand scheme of things.
... ija
Used for the young of an animal ...
lata = a cow : latija = a calf
fanfa = a horse : fanfija = a foal
huŋgu = a swan : huŋgija = a cygnet
Occasionally you come across the form -ʔija. For example ...
nuaʔija = a mouse pup
Some very common animals have a form even more trunkated. For example ...
méu = a cat : meuja = a kitten
sú = pig : suja = piglet
waudo = a dog : wauja = a pup
waugo = wolf : wauja = a young wolf
The above three are interesting. The sounds these three animals make are méu, sú and wáu respectively.
..
... ia & ua
These two are found all over the place. They are affixed to both nouns and verbs to produce adjectives ...
keŋko = salt : keŋkia = salty : keŋkua = lacking salt
And many many others.
..
| ..... infinitive ..... | ..... past/passive participle ..... | .......... future participle ..... |
| laudo | wash/launder | laudia | washed | laudua | to be washed |
| + laudia | a washed item | + laudua | an item to be wshed | ||
| k+ laudia | washed clothes ...... | k+ laudua | a pile of dirty clothes | ||
| kludau | write | kludia | written | kludua | to be written |
| + kludia | a note | + laudua | an assignment | ||
| k+ kludia | notes | k+ kludua | assignments |
As can be seen, the participles, along with the schwa particles are quite productive.
... li & lu
These are affixed to both nouns and verbs to produce adjectives ...
tìa = a house : tiali = home-owning : tialu = homeless
..
nko = to know : nkoli = known : nkolu = to be found out
[ a sense of obligation comes with the future participle, similarly with the -ua future participle ]
Again, very productive with the schwa particles.
... ge
bòi = good
boige = better
... mo
bòi = good
boimo = best/the best
... be
| liza | to hear | lizbe | audible |
| mwé | to see | mwebe | visible |
| flò | to eat | flobe | edible |
| solbe | to drink | solbebe | drinkable |
| gàu | to do | gaube | doable |
| mài | to get | maibe | permissible, permitted, allowable, allowed |
| mbe | to believe | mbebe | believable |
umbebe = unbelievable (a common utterance when something voluptuous comes into view)
Note ... elza = an ear : lizo = a sound, a noise
..
epus mbor solbe ?azwo => ?azwo r solbebe somebody can drink milk => milk is drinkable
The general pattern is : epus mbor X Y => Y r Xbe
epus mbor mbe gò jono r tumu => gò jono r tumu r mbebe => r mbebe gò jono r tumu somebody can believe that John is stupid => that John is stupid is believable => it is believable that john is stupid
-be is probably derived from mbe "to hold" ... the word béu uses to express root possibility
... te
hìa = red : hiate = reddish
jutu = big : jutute = somewhat large
lelte = music : lelpa = to sing : lelpai = a song : leldo = a singer
... do
Nearly always refers to a professional job. That is, a job in which book learning is needed.
kludau = to write : kludado = a clark, a scribe
It appears a lot with H derived from Ø using the -n suffix. For example ...
háu = to learn : háun = to teach " haundo = a/the teacher
... ce
Often appears with Ø ...
háu = to learn : hauce = a student
... ba
Said to be related to mba "hand/arm". Nearly always relates to a non-professional job. That is, a job in which book learning isn't needed. But that is not to say knowledge/skill isn't needed to do the job
kwè = to turn : kweba = a turner (lathe operator)
delmoiba = metalworker : weuba = a truck driver : bundaba = builder
weaver, baker, brewer, butcher ?
... ai
dano "line" => danai "straight"
dailo "sheet/panel/pane" => dailai "flat"
dauzo "cube/die/block" => dauzai "regular"
aŋgwa = harmony => aŋgwai = graceful, elegant, poetic
bawa = men => bawai = male, masculine
gala = women => galai = female, feminine
nyu = loom => nyai = complex
wuda = wood => wudai = sturdy, durable [ CHANGE THE A TO SOMETHING ELSE ... I DON'T WANT : PLURAL = ADJECTIVE ]
sopo = a human corpse => sopai = smelly
sufe = an animal corpse => sufai = decomposed or morally corrupt : sufaimi = this usuall means moral corruption ... offering and excepting bribes etc.
hanyo = mammal => hanyai = honest
saka = bark => sakai = rough .... soka = skin
halu = rock => halai = permanent
alhe = flower => alhai = fragrant
fida= wind => fidai = temporary
fona = rain => fonai = pure
..
sekla = the material called "glass", sekla = made of glass, seklas = a glass
aʔa = one => ʔài = same, identical => + ʔài = the same one
u?ai = different
... heu
... da
... no
machine
... ?o
tool
... ti
"the smallest part of ... "
moze = water : mosti = a drop
panti = crumbs : pan? = bread
chain => link
rope => strand
sò = a row, a line of stitching : soti = a stitch
punti = brickbat : pun? = brick
doiti = a step, a stride : doika = to walk
sosti = a snowflake : sos = snow .... sospe = a snowdrop
gosti = a segment (of an orange)
... gan
Nominalizer to make uncountable intangible nouns This suffix is sometimes used to make a more complex concept from a simple concept. Of course there must be some relationship between the base concept and the derived concept, however tenuous.
Also it is used in a few instances to give a sort of "collective" meaning. The items in the below table all have a "collective" derivation.
| hái | high, tall | haigan | the first dimension |
| joga | broad | jogan | the second dimension |
| guboi | deep | gugan | the third dimension |
| bada | after | bagan < badagan | since |
| kaca | before | kagan < kacagan | until |
| xxx | position | xxgan | space |
| kyù | occasion (time) | kyugan | time (in the general sense) |
And not forgetting dekogan meaning "spacetime".
Also (very important) ...
béu = A culture, with the speaking, reading and writing the béu language having a significant roll.
beugan = The community of béu. That is the sum total of all people who follow béu together with all written texts, buildings and other artifacts to do with béu
Another important one ...
peugan = society at large, society in general, the entirety of humanity
... tun
Used to derive names of states or dynasties No longer a word in its own right. It might originally have meant something like "power" or "rule". Now used purely as an affix. A number of countries that have a capital city a lot bigger that any urban center are named after their capital. For example ...
londontun = The United Kingdom
palistun = France
baŋkotun = Thailand
Also used for naming dynasties. For example ...
yuantun = The YUAN dynasty in China
... kas
Something complex
kòi = day, the time in which the sun is over the horizon
koikas = a 24 hour period
maŋga = infinitive verb
maŋkas = infinitive verb phrase
seŋko = object
seŋkas = noun phrase
helgo = a finite verb
helkas = a clause
... con
... fen
..
this is also a noun. fén = thing
This suffix usually produces an uncountable tangible nouns ... well sort of tangible.
..
| yái | to have | yaifen | gear, moveable property |
| wàu | to own | waufen | possessions, property |
| flò | to eat | flofen | food |
| dó | to do, to make, to produce | dofen | products, produce (the noun) |
| náu | to give | naufen | tribute, tax |
| glà | to store | glafen | reserves, stores |
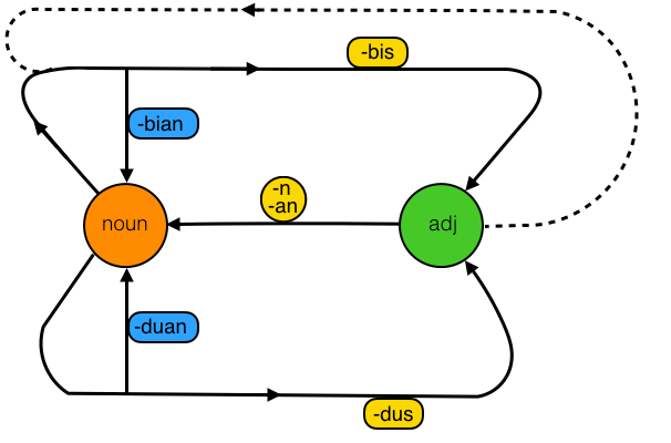
... bis & dus
| ái | white | aibis | faded |
| lozo | grey | lozobis | grizzled |
| "cool" | cool | coolbis | crepuscular |
| "warm" | warm | warmbis | cold blooded |
lozbian = grizzly bear
..
WHAT TO DO WITH THE BELOW
Used only with Ø verbs.
janka = run
jankabis = fond of running
jankabian = roadrunner
..
These affixes basically change nouns into adjective although bis also changes a few adjectives into other adjectives.
The meaning that bis contributes is "attracted to", "liking", "tending towards", "accustomed to" or "addicted to".
..
| ái | white | aibis | faded | ||
| lozo | grey | lozobis | grizzled | ||
| pà | I | pabis | selfish | ||
| mama | mother | mambis | motherbound | ||
| tìa | house | tiabis | domesticated | tiabian | a pet |
| "cool" | cool | coolbis | crepuscular | ||
| "warm" | warm | warmbis | cold blooded | ||
| gù | master | gubian | a sycophant | ||
| toili | book | toilibis | bookish | toilibian | a bookworm |
| alka | alcohol | alkabis | fond of alcohol | alkabian | an alcoholic |
| alha | flower | alhabis | attracted to flowers | *alhabian | a bee |
| ʔinte | ant | ʔintebian | an anteater, pangolin or aardvark | ||
| pái | bamboo | paibian | a panda |
..
bis and bian seem to complement each other. bis giving an adjective and bian giving a noun. Now usually there is not much difference between adjectives and nouns. Fot example... the one form ... "alcoholic" serves both as a noun and an adjective in English. The usual method for A => N in béu is to stick + or k+ in front of the adjective. mutu "important" : + mutu "a/the VIP". Nevertheless béu gives you this choice. For example, for alkadus/alkaduan the former is the more common. Refers to a human who is addicted to alcohol. You may wonder where the adjective alkadus could bu used (in English you can talk about an alcoholic drink, in béu this is simply solbo alka). Well you could talk about solbeda alkadus "a bar where alcoholics hang out". You could also talk about solbo alkadus a drink favoured by alcoholics because of its price point and alcohol content.
Actually you may ask, is the bis/bian duality really warranted. Is it really needed. But I suppose the number of animals names derived using the bian suffix justifies this fine graduation of meaning the bis/bian distinction gives us. Take alhabis/alhabian for example. A humming bird can be described as alhabis, but is never called alhabian. The name alhabian is reserved for Anthophilia. Certain rats can be described as paibis but is never called paibian. The name paibian is reserved for the Giant Panda and the Red Panda.
As you can see, the derived word can have some erosion. For example ... *mama.bis => mambis. Two things decide whether a derived word get eroded ...
1) Frequency of use ... the most commonly used words tend to lose some phonemes.
2) How the main worrd and the -bis shape up together. For example in mama.bis that sluty m and that horny b could not wait to get it together (they were made for each other).
By regular morphological processes the last item above (for instance) would turn out as *ʔintebizan. However all adjectives derived using the -bis affix get eroded when -an is appended ... hence ʔintebian.
In fact all the -bis words have a -bian equivalent, but in the above table I have only written down the 4 most common ones.
..
The meaning that dus contributes is "to be repelled by", "to disagree with", "disliking", "scared of", "avoiding" or "hating".
..
| mpu | people | mpudus | timid, shy (of an animal) | ||
| moze | water | mozdus | rabid | ||
| kòi | sun | koidus | nocturnal | koiduan | a nocturnal animal |
| ʔazwo | milk | ʔazwodus | lactose intolerant | ʔazwoduan | lactose intolerant person |
| peugan | society | peugandus | antisocial | peuganduan | a hermit |
By regular morphological processes the last item above (for instance) would turn out as *peuganduzan. However all adjectives derived using the -dus affix get eroded when -an is appended ... hence peuganduan.
In fact all the -dus words have a -duan equivalent, but in the above table I have only written down the 3 most common ones.
..
One interesting word is ʔargobis "demanding" (adjective). In English it is as if I-want-ish had coalesced and formed a single word. Probably related(derived) to ʔargobis is ʔargoduan "one who strives for a stress free life" (a sort of hippy).
An important group of technical words are derived from walau "a/the storm cloud" (by the way, the name for a normal cloud is ?alaus). They are ...
..
walduan "electron" (think lightning)
waldus "negative charge" (a back formation from walduan)
walbis "positive charge" is (obviously derived from waldus)
walgan "electrical charge"/"electricity" ... (very easy to see where this word comes from)
..
*alhabian is archaic. In the modern language, "bee" is simply habian.
..
More word building
The above are examples of non-basic words originating from two nouns.
There is also another kind of non-basic word. This one originating from a noun and a particle.
The particle is not an independent word and usually only exists as a suffix ( -da is an exception to this, it can occur as a prefix as well)
Note that in some occasions a bit of erosion has occurred. For example ...
"bee" = habis and not *alhabis
"society" = peugan and not *ampeugan
The reason for this ... well common words should not be to long. But why did I not just create a new short word for the concepts "bee" and "society". It was not that I am trying to construct a language family with a different set of phonological rules to derive each of the daughter languages from the Ur-language. The fact is that I expect people (on some level at last) to associate the first syllable in "bee" with the last syllable in "flower", first syllable in "society" with the last syllable in "associate". Also I expect people to associate the concept of "bee" to the concept of "flower", the concept of "society" to the concept of "society" (again probably at a subconscious level).
I feel that in doing things the above way makes béu more "poetic". Also that it holds the whole thing together.
... bian & duan
... in
Used only with verbs that have a Ø base form and an H form derived by adding -n to the base.
Means "liable to xxxx". For example, if a guy is known to have thrown a few punches in his time would be described as timpin. This comes from timpa meaning "to hit" or "a blow". Note that the final vowel (in multis-yllable words) is inevitably written over.
It appears a lot with H derived from Ø using the -n suffix. For example ... ʔoimin = pleasant : heunin = depressing : taudin = annoying : swu.in = frightening, scary : centin = really annoying : yodin, sexy, hot : gai.iin = painful : gwibin = embarrassing : doimin = worrying : ʔicin = causing jealousy : etc. etc.
Note that both the -n suffix as well as the final vowel (in multi-syllable words) is inevitably overwritten.
... uʒi
Used only with verbs that don't have a Ø base form and an H form derived by adding -n to the base.
| to drink | solbe | fond of drinking | solbuʒi |
| to play | lento | playful | lentuʒi |
| to rest/relax | nje | lazy | njeʒi |
| to learn | háu | keen to learn | hauʒi |
| to lie | selne | untruthful by disposition | selnuʒi |
| to work | kodai | diligent | koduʒi |
eskua = to be angry : eskuʒi = "bad tempered" : eskula = angry : eskuas = fit of temper, outburst
If the verb is monosyllabic or ends in n, then -ʒi is used instead of -uʒi.
swó = to fear : swoʒi = feignt-hearted, cowardly : swola = frightened : swolo = terrible
heuno = "to be sad" : heunon = "to make sad" : heunonʒi = depressing
... o
| to drink | solbe .... | a drink | solbo |
| to bite | ilke | tooth | ilko (Somali) |
| to plow | pluga | furrow | plugo |
| to sow, to stitch | sèu | a row* | sò |
sokas = item ... sokas one, sokas two, sokas three ... when going through items on a list ... when you go into each item quite a bit.
Also "to perform"/"entertain"/"hold somebody's attention" => "performance"/"show"/"spectacle" => so + = "episode"
'* has quite a wide meaning ... a row, a series (as in TV series), a row of stitching, a suture ... there is no connotation of horizontal rather than vertical i.e. row vs. column
..
... TO THINK ABOUT
... adjectives => verbs
For example ...
geukari = I turned it green ... notice that ʃì "it" can be dropped because geuko is V2.
geukari tái = I turned myself green
tezari gèu = I became green
The difference in meaning of the above two examples, is that tezari gèu says nothing about volition (or effort) while geukari tí has connotations of both.
jwari geuko = I was made green
The above has suggests volition (and effort) but by a third party.
..
READ ABOUT SWEDISH ETC ETC UNDER CAUSATIVES ...
... verbs => nouns
..
Actually verbs in their infinitive form can be considered nouns also. For example ...
gàu = to do, to make ... but it can also be translated as "deed" or "action".
If an action can result in (or be strongly connected to) some physical object. In that case the name of the physical object is derived from the verb by deleting the final vowel of the infinitive and adding "u". For example ...
gàu = to make, to produce : dú = a product, an artifact
nàu = to give : nù = a gift
solbe = to drink : solbu = a drink
The -u ending always gives a countable noun ... also tangible, sort of.
To produce uncountable nouns the suffix -fan is often used. For example ...
naufan = tribute, tax
dofan = products
solbefan = drinks
yái = to have : yaifan = possessions, property
glà = to store : glafan = reserves
Note ... yó is not a noun, but a particle that indicates possession, occurs after the "possessed" and before the "possessor.
..
..... The sides of an object
..
sky tìan = above the house
awe (rá) nà sky tìan = the bird is above the house .... sometimes nà can be left out as well ... awe sky tìan = the bird is above the house (a phrase) the NP (the bird above the house) ....
earth tìan = under the house
face tìan = front of the house
arse tìan = behind the house
kà = side
aibaka = a triangle
ugaka = a square
idaka = a pentagon
elaka = a hexagon
ò atas tìa = he/she is above the house ... however if "house" is understood, and mention of it is dropped, we must add ka to atas ... for example ...
ò ataska = he/she is above
daunika = underneath
liʒika = on the left hand side
luguka = on the right hand side
noldo, suldo, westa, istu niaka, muaka faceside backside etc. etc.
..... Index
- Introduction to Béu
- Béu : Chapter 1 : The Sounds
- Béu : Chapter 2 : The Noun
- Béu : Chapter 3 : The Verb
- Béu : Chapter 4 : Adjective
- Béu : Chapter 5 : Questions
- Béu : Chapter 6 : Derivations
- Béu : Chapter 7 : Way of Life 1
- Béu : Chapter 8 : Way of life 2
- Béu : Chapter 9 : Word Building
- Béu : Chapter 10 : Gerund Phrase
- Béu : Discarded Stuff
- A statistical explanation for the counter-factual/past-tense conflation in conditional sentences




